Elliptic Curve defined by y^218/5/15 In this question formula a 3 b 3 c 3 3abc = (abc)(a 2 b 2 c 2 abbcca) is used LHS part (xy) 3 (yz) 3 (zx) 3 3(xy)(yz)(zx) =(xy yz zxHere, Right hand side = Left hand side which means that (a3) (a3) is an identity Using Activity Method In this method, the algebraic identity is verified geometrically by taking different values of a x and y x 3 y 3 z 3 = (xyz)(x 2 y 2 z 2xyxzyz) Important Algebraic Expressions and Identities Class 8 Formula
Evolvit Brand Identity Guidelines By Nazmul Hossan Logo And Brand Identity Designer On Dribbble
(x+y+z)^3 identity
(x+y+z)^3 identity-(xyz)^3 (x y z)(x y z)(x y z) We multiply using the FOIL Method x * x = x^2 x * y = xy x * z = xz y * x = xy y * y = y^2(xyz)^3 varify the identity Get the answers you need, now!



Enhancing Public Digital Identity System Spid To Prevent Information Leakage Springerlink
4 Definition A literal is any Boolean variable x or its complement x' Truth Tables of Boolean functions Much like the truth tables for logical propositions If f(x,y,z, ) is an nvariable Boolean function, a truth table for f is a table of n1 columns (oneNaik naik Math Secondary School answered (xyz)^3 varify the identity 1 See answer naik is waiting for your help Add your answer and earn pointsThe values of x, y, z in order of the system of equations 3x y 2z = 3, 2x – 3y – z = –3, x 2y z = 4, are (a) 2, 1, 5 (b) 1, 1, 1 (c) 1, –2, –1 (d) 1, 2, –1 Ans (d) Every scalar matrix is an identity matrix (c) Every diagonal matrix is an identity matrix (d) A square matrix whose each element is 1 is an identity matrix
> E, phi = EllipticCurve;Click here👆to get an answer to your question ️ Using the identity and proof x^3 y^3 z^3 3xyz = (x y z)(x^2 y^2 z^2 xy yz zx) Solve Study Textbooks Guides Join / Login> C = Curve(PP,f);
Click here 👆 to get an answer to your question ️ (xyz)^3 varify the identity naik naik Chemistry Secondary School answered (xyz)^3 varify the identity 1 See answer Advertisement Advertisement naik is waiting for your help> f = T0^3 T1^3 T2^3 3*u*T0*T1*T2;Solving Identity Equations An identity equation is an equation that is always true for any value substituted into the variable 2 (x1)=2x2 2(x 1) = 2x 2 is an identity equation One way of checking is by simplifying the equation 2 ( x 1) = 2 x 2 2 x 2 = 2 x 2 2 = 2 = 2x 2 = 2x 2 = 2 2=2 2 = 2 is a true statement



Silent House Productions Logo Visual Identity Brent Lambert



How To Solve Using The Gauss Elimination Method Y Z 2 2x 3z 5 X Y Z 3 Quora
7/2/22 Stack Exchange network consists of 178 Q&A communities including Stack Overflow, the largest, most trusted online community for developers to learn, share their knowledge, and build their careers Visit Stack Exchange(xyz)^3 varify the identity Get the answers you need, now!B) and are associative for all x, y and z in B, x(yz)=(xy)z, and x(yz)=(xy)z c) and are distributive over one another x(yz)=xyxz, and x(yz)=(xy)(xz) d) Identity laws 1x=x1=x and 0x=x0=x for all x in B e) Complementation laws xx'=1 and xx'=0 for all x in B Examples (xyz)^2 using suitable identity 2 See answers devansh00gupta29/6/13 Stack Exchange network consists of 178 Q&A communities including Stack Overflow, the largest, most trusted online community for developers to learn, share their knowledge, and build their careers Visit Stack Exchange



Revised Social Media Policy



Plantilla De Modelo De Equidad De Marca Es Creately
Identity 0 x = x ;X^3y^3z^33xyz=(xyz)(x^2y^2z^2xyyzzx)First take LHS(xyz)(x^2y^2z^2xyyzzx)To multiply two polynomials, we multiply each monomial of one polynomial (with its sign) by each monomial (with its sign) of the other polynomialxx^2xy^2xz^2x^2yxyzx^2zyx^2yy^2yz^2xy^2y^2zxyzzx^2zy^2zz^2xyzyz^2xz^2= x^3xy^2xzSolve your math problems using our free math solver with stepbystep solutions Our math solver supports basic math, prealgebra, algebra, trigonometry, calculus and more



Euclidean Space Wikipedia



1
Correct answer to the question Use the identity x^3y^3z^3−3xyz=(xyz)(x^2y^2z^ 2−xy−yz−zx) to determine the value of the sum of three integers given the sum of their squares is 110,the sum of their cubes is 684, the product of the thre hmwhelpercom Subjects English;X (yz) = (x y)(x z) 5 Maxterm List Form f(x y z) = ΠM(0,3,6) Note the differences from the way minterms are complemented 11 cs309 G W Cox – Spring 10> R = PolynomialRing(QQu,3);



10 Simple Ways To Develop A Spiritual Practice Or Identity By Ariessign Xyz Zodiac Signs Astrology Signs Zodiac Birth Dates



1
Expand ( X Y Z )2 CISCE ICSE Class 9 Question Papers 10 Textbook Solutions Important Solutions 6 Question Bank Solutions Concept Notes & Videos 429 Syllabus Advertisement Remove all ads Expand ( X Y Z )2 Mathematics AdvertisementGet a quick overview of Algebraic Identity of (xy)³ and (xy)³ from More Complex Identities in just 3 minutes Algebraic Identities (xy)³ Comparing the polynomial with the identity we have, x = 3 a & y = b Using the values of x & y, other terms of the polynomials are written as shown9/4/18 Expand the first two brackets (x −y)(x − y) = x2 −xy −xy y2 ⇒ x2 y2 − 2xy Multiply the result by the last two brackets (x2 y2 −2xy)(x − y) = x3 − x2y xy2 − y3 −2x2y 2xy2 ⇒ x3 −y3 − 3x2y 3xy2 Always expand each term in the bracket by all the other terms in the other brackets, but never multiply two or



New Logo And Identity For Hemslojden By Snask Branding Search By Muzli



The Identity Management Gateway Superoffice Docs
The formula of x 3 y 3 z 3 – 3xyz is written as \(x^{3} y^{3} z^{3} – 3xyz = (x y z) (x^{2} y^{2} z^{2} – xy – yz – zx)\) Let us prove the equation by putting the values of x = 1;Answer (1 of 7) (xyz)^3 put xy = a (az)^3= a^3 z^3 3az ( az) = (xy)^3 z^3 3 a^2 z 3a z^2 = x^3y^3 z^3 3 x^2 y 3 x y^2 3(xy)^2 z 3(xy) z^2 =x^3That satisfy the exponentiation identity are also known as exponential functions, the exponential function exp is the unique realvalued function of a real variable whose derivative is itself and whose value at 0 is 1;



Solved Let G Be A Group Assume That The Equation Xyz E Holds In G Where E Is The Identity Element In 6 Does It Follow That Yzx E Yxz



Solved Question 4 Let G Be A Group And Xy Z Elements Of G Such That Xyz E The Identity Element Which Of The Following Must Necessarily Also Be Equal To E Choose
Xy = yx 4 Distributive x (y z) = xy xz;Example 2 if x = 10 and y is 4 (10 4) 2 = 10 2 2·10·4 4 2 = 100 80 16 = 36 The opposite is also true 25 a 4a 2 = 5 2 2·2·5 (2a) 2 = (5 2a) 2 Consequences of the above formulas(xyz)^3 identityGet our complete, 22page guide on Euler's formula—in offline, printable PDF format Yes That'd be great Sources Mathematics for Physicists (Susan M Lea) The Cambridge Handbook of Physics Formulas (Graham Woan) How's yourNow let us consider an equation x 2 9 = (x 3)(x 3) These equations satisfy any values of x From this, we can clearly understand that an



Algebraic Identities Of Polynomials A Plus Topper



The Habit Of Knowing The Other Person Develops In Digital Space By Entify Xyz Medium
Simplify (X Y)3 − (X − Y)3 Maharashtra State Board SSC (English Medium) 8th Standard Textbook Solutions 37 Important Solutions 1 Question Bank Solutions 1907 Concept Notes & Videos 249 Syllabus Concept Factorisation using Identity a3 b3 = (a b)(a2 ab b2)Identity Dual Operations with 0 and 1 1 X 0 = X (identity) 3 X 1 = 1 (null element) 2 X1 = X 4 X0 = 0 Idempotency theorem 5 X X = XX y x' x'y xx'y xy 0 0 1 0 0 0 0 1 1 1 1 1 1 0 0 0 Stack Exchange Network Stack Exchange network consists of 178 Q&A communities including Stack Overflow , the largest, most trusted online community for developers to learn, share their knowledge, and build their careers



3 Ways To Create A Logo Design Xyz Domain Names Join Generation Xyz



Hlfu Math Nctu Edu Tw
6/5/17 (xy)^3 (yz)3 (zx)^3 = 3(xy)(yz)(zx) That is it no constraints etc It mentions "This can be done by expanding out the brackets, but there is a more elegant solution" Homework Equations The Attempt at a Solution First of all this only seems to hold in special cases as I have substituted random values for x,y and z and they do not agreeThis video shows how to evaluate using the identity'x3y3z33xyz=(xyz)(x2y2z2xyyzzx)'To view more Educational content, please visit https//wwwyoutSolve for x Use the distributive property to multiply xy by x^ {2}xyy^ {2} and combine like terms Use the distributive property to multiply x y by x 2 − x y y 2 and combine like terms Subtract x^ {3} from both sides Subtract x 3 from both sides Combine x^ {3} and x^ {3} to get 0 Combine x 3 and − x 3 to get 0



Ex 2 5 12 Verify That X3 Y3 Z3 3xyz 1 2 Ex 2 5



Akacieholm Realestate Identity On Behance
30/4/ Solution We will use the algebraic identity x³ y³ z³ 3xyz = (x y z)(x² y² z² xy yz zx) The given expression 27x³ y³ z³ 9xyz can be written as (3x)³ (y)³ (z)³ 3(3x)(y)(z) By using the identity x³ y³ z³ 3xyz = (x y z)(x² y² z² xy yz zx)Resolvemos problemas de matemáticas respondiendo a preguntas sobre tus deberes de álgebra, geometría, trigonometría, cálculo diferencial y estadísticas con explicaciones paso a paso, como un tutor de matemáticasAquí nos gustaría mostrarte una descripción, pero el sitio web que estás mirando no lo permite



Brand Identity For Crypto Code On Behance



2
By AMGM $$ \frac{xyz}{3} \geq \sqrt3{x y z} $$ Now take the cubic value on both sides of this inequality Use the following identity which also gives you the exact deviation in positive terms from $27 x y z$ (from which you can derive tighter bounds ofWell, the answer is, not every algebraic equation holds the algebraic identity Say for example, x 2 2x1 = 110 is an equation but not an identity Let us prove it by putting the value of x Let x = 1, then, 1 2 Let us consider x, y and z are the variables Algebraic Identities for Ttwo Variables x and y (x y) 2 = x 2 y 2 2xy (xHere's a really terrible answer ask a computer I asked a computer ($\textsf{Magma}$, to be specific), and here's what it told me > QQu = RationalFunctionField(Rationals());



Socerapp Xyz Pop Up Scam Mac Removal Steps And Macos Cleanup



M Letter Icon Megabox Brand Identity By Pexels Pro On Dribbble
EECS 31/CSE 31/ICS 151 Homework 2 Questions with Solutions View Questions Only View Questions with Strategies Problem 1 Question (Theorems of Boolean algebra) Give proofs to the following theorems25/8/21 Transcript Ex 25, 9 Verify (i) x3 y3 = (x y) (x2 – xy y2) LHS x3 y3 We know (x y)3 = x3 y3 3xy (x y) So, x3 y3 = (x y)3 – 3xy (x yConsider the equation x y z = 15From algebraic identities, we know that (a b c)^2= a^2 b^2 c^2 2(ab bc ca)So,(x y z)^2= x^2 y^2 z^2 2(xy yz xz)From the question, x^2 y^2 z^2= and x y z = 15So,152= 2(xy yz xz)=> 225 – = 2(xy yz xz)Or, xy yz xz = 142/2 = 71Using algebraic identity a³ b³ c³ – 3abc = (a b c)(a² b² c²



Evolvit Brand Identity Guidelines By Nazmul Hossan Logo And Brand Identity Designer On Dribbble



Solved 8 3 Prove Algebraically The Following Identity X Yz Chegg Com
You can put this solution on YOUR website! Davneet Singh is a graduate from Indian Institute of Technology, Kanpur He has been teaching from the past 10 years He provides courses for Maths and Science at TeachooAlgebra Formulas for Class 9 Algebra is a branch of mathematics in which universal symbols and letters are used to represent quantities and numbers in equations and formulas Algebra is divided into two sections elementary algebra and modern algebra (Abstract algebra) Algebra formulas for Class 9 comprise formulas relating to algebra identities or expressions



Identity Parameter An Overview Sciencedirect Topics



Desiree Dawn Events Brand Board By Braizen Logo Graphicdesign Design Branding Identity Branding Design Graphic Design Branding Graphic Design Inspiration
Find x^1/3 y^1/3 z^1/3 = 0 Then find (x y z)^3 Hello Student Thanks & Regards Arun Kumar Btech, IIT Delhi Askiitians Faculty3/3/22 An algebraic identity is an equality that holds for any values of its variables For example, the identity ( x y) 2 = x 2 2 x y y 2 (xy)^2 = x^2 2xy y^2 (x y)2 = x2 2xyy2 holds for all values of x x x and y y y Since an identity holds for all values of its variables, it is possible to substitute instances of one side of theCorrect answers 1 question Use the identity x^3y^3z^3−3xyz=(xyz)(x^2y^2z^ 2−xy−yz−zx) to determine the value of the sum of three integers given the sum of their squares is 110,the sum of their cubes is 684, the product of the three integers is 210,and the sum of any two products (xyyzzx) is 107



The Fig 1 Shows Ring Signature User Allocation System When User Logged Download Scientific Diagram



Enhancing Public Digital Identity System Spid To Prevent Information Leakage Springerlink
Let us consider LHS of the equation LHS = x 3 y 3 z 3 – 3xyz LHS = 1 3 2 3 3 3 – 3(1 × 2 × 3) LHS = 1 8That is, exp ′ ( x ) = exp ( x ) {\displaystyle \exp ' (x)=\exp (x)} for all real x, andX y is a binomial in which x and y are two terms In mathematics, the cube of sum of two terms is expressed as the cube of binomial x y It is read as x plus y whole cube It is mainly used in mathematics as a formula for expanding cube of sum of any two terms in their terms ( x y) 3 = x 3 y 3 3 x 2 y 3 x y 2



Polynomials Ppt Video Online Download



Solved 3 10 Points Simplify The Following Functional Chegg Com
1 x = x 3 Commutative x y = y x ;> PP = ProjectiveSpace(QQu,2);



Solved Provide The Missing Reasons Select Division Property Of Equality Identity Substitution Multiplication Property Of Equality Given Given Xyz With Xy Trisected At P And Q And Yz Trisected At R And Axyz



Using Identities Prove That X Y Z 2 3 Xy Yz Zx Where X Y Z Are Positive Real Numbers Maths Polynomials Meritnation Com



If Scos Alpha Ycos Text 61 Alpha Frac 2pi 3 Zcos Left Alpha Frac 4pi 3right Then Find The Value Of Xy Yz Zx Snapsolve



Rd Sharma Solutions For Class 8 Chapter 6 Algebraic Expressions And Identities Exercise 6 3 Access Free Pdf



Architecture 11g Release 1 11 1 1



Developing Multi Tenant Applications On Hcp Application Overview Part 2 Sap Blogs



2 4 2 1 Use The Identity X A X B X 2 A B X Ab To Find The Following Products 4x 5 4x 1 X 3 X 7 Iv 4x 5 4x 1 4x 5 4x 1 Vi 2a 2 9 2a 2 5 2x 5y 2x 3y X Z 4 Xyz 2 G Findthe Following Squares By Using The Identities 3 2 Ii



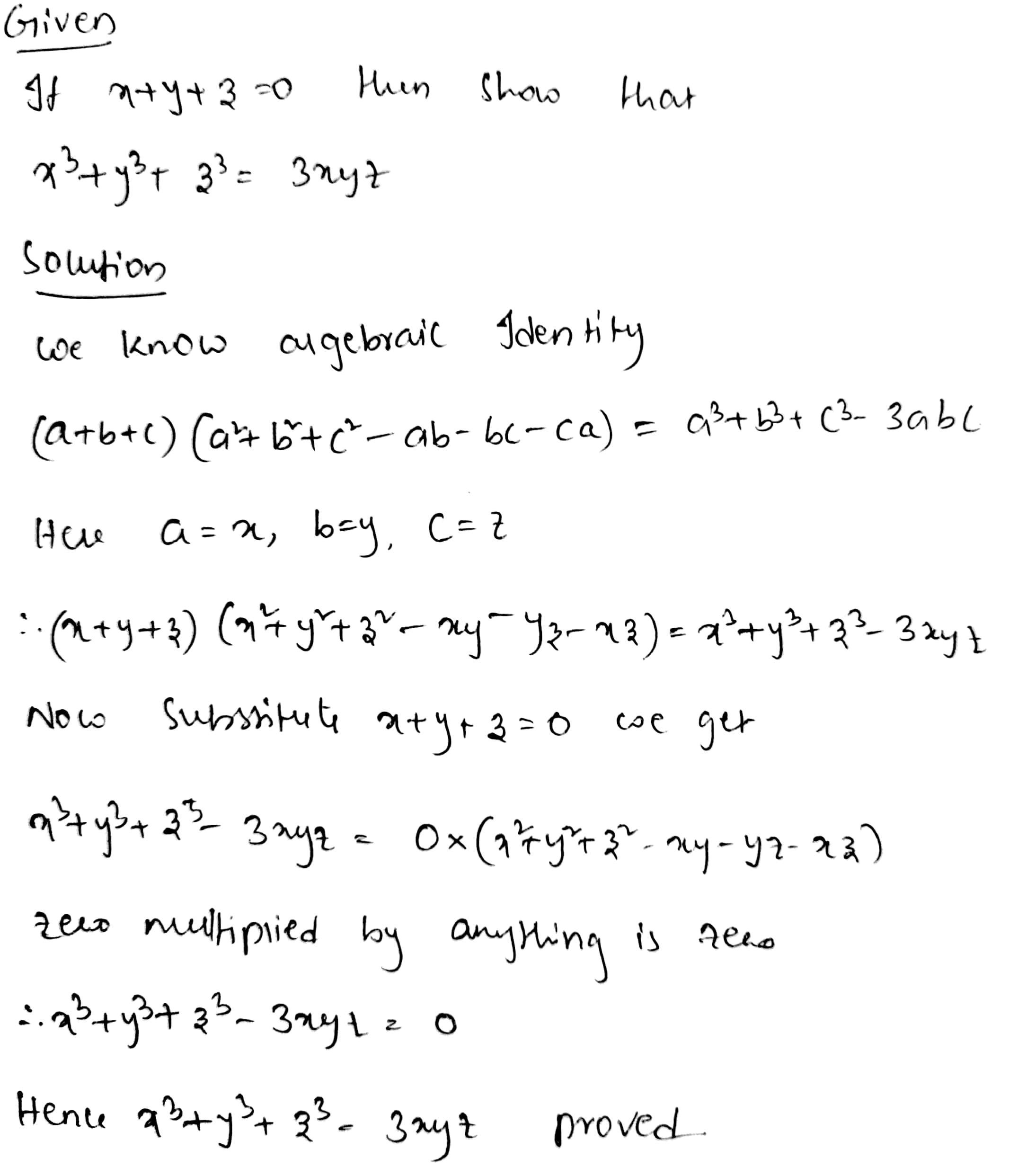
13 If X Y Z 0 Show That X 3 Y 3 Z 3 3xyz Snapsolve



Pdf A New Combinatorial Identity



Solved Assignment 1 1 Construct A Truth Table For The Chegg Com



Scam Alert Calls Leading To Identity Theft Wnep Com



O Letter Logo Orbito Brand Identity By Pexels Pro On Dribbble



Verify That X 3 Y 3 Z 3 3xyz 1



Note This Book Sample Comprises Of The Cover Page Title Page End User License Agreement Foreword Preface Table Of Contents Editor S Biography And The First Three Pages Of Each Chapter These Sample Images Are In Low Resolution To Optimise The File



Polynomials Ppt Video Online Download



If X Y Z 0 Then Find The Value Of X 3 Y 3 Z 3 Maths Algebraic Expressions And Identities Meritnation Com



Mackenzie Turton Creative Designer Marketing Specialist Ternary



Unomaha Edu



Personas Frequently Asked Questions Segment Documentation



Using Albert It To See If A Particular Nonassociative Polynomial Is Download Scientific Diagram



If X Y Z 0 Show That X 3 Y 3



2



Trigonometric Identities List Of Trigonometric Identities Examples



Ncert Solutions For Class 8 Maths Chapter 9 Algebraic Expressions And Identities Ex 9 1 Cbsetuts Com Algebraic Expressions Maths Ncert Solutions Math



How To Factorise Using The Identity X3 Y3 Z3 3xyz X Y Z X2 Y2 Z2 Xy Yz Zx Youtube



My Brand Design Process Tina Perko Design



Solved For Each Binary Operation Defined On A Set Below The Binary Structure Given Is Not A Group Structure Give Justification By Describing Which Axiom Fails To Hold Define Be A Binary Operation



Use The Identity X Ax B X2 A Bx Ab To Find The Following Products



Solved Point If 2 72 And Is The 3 X Identity Matrix Then Ai And Ia



Security Identity Compliance Aws For Industries



Developing Multi Tenant Applications On Hcp Persistence Multitenancy Part 4 Sap Blogs



Ultimate Brand Creation Corporate Identity Case Study For Brand Identity Design Services Ppt Inspiration Background Images Pdf Powerpoint Templates



X 3 Y 3 Z 3 3xyz X Y Z X 2 Y 2 Z 2 Xy Yz Zx A 3 B 3 C 3 3abc A B C A 2 B 2 C 2 Ab Ca Youtube



2 4 2 1 Use The Identity X A X B X 2 A B X Ab To Find The Following Products 4x 5 4x 1 X 3 X 7 Iv 4x 5 4x 1 4x 5 4x 1 Vi 2a 2 9 2a 2 5 2x 5y 2x 3y X Z 4 Xyz 2 G Findthe Following Squares By Using The Identities 3 2 Ii



Hairpinning Triangular Routing Locator Identity Separation Protocol Lisp



Pdf Leadership Storytelling Event As A Means Of Prompting Organizational Identity Change Semantic Scholar



Csi Technology Group Identity Federation Standards And Justice Information Sharing Csi Technology Group Participates In Highlighted Ijis Project With The Growing Visibility And Importance Of Identity Management Security And Privacy It



Charity Fest 19 Identity On Behance



If X Y Z 0 Then Show That X Cube Y Cube Z Cube 3xyz Mathematics Topperlearning Com Vj2f0044



3d Atomic Configuration Of Nanocrystalline 316l Stainless Steel With An Download Scientific Diagram



1



Factorise 27x 3 Y 3 Z 3 9xyz



18 Algebraic Identities Of Polynomials Ideas Polynomials Identity Solution Examples



Ex 2 5 Q No 12 Verify X3 Y3 Z3 3xyz 1 2 X Y Z X Y 2 Y Z 2 Z X 2 Youtube



Ncert Solutions For Class 8 Maths Algebraic Expressions And Identities



Simple Semirings



Solved 1 Construct A Truth Table For The Following X Y Z Chegg Com



Why Is The Fractional Xyz For An Atom Changed While Changing Its Bond Distance In Material Studio



K Electrical Branding On Behance Visual Identity Design Branding Brand Book Electrician Logo



Hlfu Math Nctu Edu Tw



A X Y Z 10 X Y Z C 15 D 17 21 If X 4 4 Prove That 4x 12x Is Given By 6 13 22 If X 573 5 Prove That 5xp 15x Is Given By A 12 Lol 27 D 30



Solved V Boolean Algebra 1 Derive This Identity X X Y Chegg Com



Wsr 16 04 080 Permanent Rules Public Disclosure Commission Filed January 29 16 1 32 P M Effective February 29 16 Effective Date Of Rule Thirty One Days After Filing Purpose Make Inflationary Adjustments To Contribution Limits And



Solved Simplify The Following Functional Expressions Using Boolean Igebra And Its Identities List The Identity Used At Each Step A Flxyz Ylx X Y B Flxy 2 X Yz Xz C Flxyz X



Solved X 1 Point Consider The Subset W Of R3 Consisting Of All Vectors Y Such That X Y Z 2 2 2 Select All Statements That Are Correct 7 A Course Hero



Use The Identity X A X B X 2 A B X Ab To Find Following Products I X 3 X 7 Ii 4x 5 4x



2x 3y 6z 10 2y 4z 40 X Y Z 10 Find The Mat Gauthmath



Solved Questions 1 Demonstrate By Means Of Truth Tables Chegg Com



If X Y Z 9 And Xy Yz Zx 23 The Value Of X 3 Y 3 Z 3 3xyz Youtube



Calculus 3 Divergence And Curl 31 Of 50 Identity 7 Curl Curl F Grad Div F Grad 2 F Youtube



If X Y Z 0 Show That X 3 Y 3 Z 3 3xyz With Video



Q 12 Factorise The Expression X Y Z 3 X3 Y3 Z3 Into Linear Factors Youtube



A Simple Guide To The Web3 Stack Coinbase



Star Icon Starrap Brand Identity By Pexels Pro On Dribbble



Use The Identity X A X B X 2 A B X Ab To Find Following Products I X 3 X 7 Ii 4x 5 4x



M Letter Logo Memount Brand Identity By Pexels Pro On Dribbble



Nine To Five Identity Design Behance



Tips For Removing Traffikkim Xyz Completely Pop Up Ads How To Remove How To Uninstall



Let G X E R X 1 Be The Set Of All Real Numbers Greater Than 1 For X Y E G Define X Y Xy X Y 2 1 Show That The Operation Is



Pinniped Kubernetes Single Sign On With Openid Connect Linuxblog Xyz



Solved 17 Determine Which One Of The Following Simplifi



2



Browse Thousands Of Xyz Images For Design Inspiration Dribbble


0 件のコメント:
コメントを投稿